在 estimation theory 中,時常用到的 bound 是 Cramer-Rao Lower Bound, 簡稱 CRLB or CRB.
CRLB 的重要性在於 (i) 這個 lower bound 對不同的 estimators 能做的多好有一個比較的依據; (ii) 更重要的是 CRLB 常常是可以達到的 (也許在某一些條件下如 high SNR or asymptotically). 不像有一些數學上的 bound 只是好看而已。
Some Uses of CRLB
之後再補
What is CRLB?
CRLB is a lower bound on the variance of any unbiased parameter estimator:
所以到底 CRLB 為什麼存在以及如何定義?
Score, MLE, Fisher Information, CRLB
如何定義如下:
First, we define log likelihood function LLF = ln{LF} = ln { p(x;q) } where p(x;q) is the pdf of x, or likelihood function of q.
V 稱為 score, 代表 LLF 的 first derivative, 也是 LF 的 sensitivity.
記得 ML estimator: q_hat 滿足 d(LLF)/dq = V = 0 代表找 LF or LLF 的最大值
事實上, ML estimator asymptotically achieves the Fisher information (and the CRLB) in the limit.
另外 under certain regularity condition, the first moment of V (即 expected value) is 0 .
The second moment of V is named Fisher Information (always > 0)
再回到 CRLB: 直覺來說,若是 LLF vs. q 很集中,estimation 的效果會比較好,Fisher Information (FI) 比較大,CRLB 就會比較小。相反如果 LLF vs. q 很平緩,FI 比較小,CRLB 就會比較大。 衡量集中或平緩的特性就是曲率,粗略來說,CRLB 的定義就是 LLF 曲率的倒數 * –1 (x-1 是轉正值).
注意 variance 大,FI 比較小。這和 Shannon Information (Entropy) 的定義相反。FI 是從估計的角度出發,variance 小則估計準,information 比較多。Shannon Information 是從 surprise 的角度出發,variance 小則沒有 surprise, information 比較少。
上述的第一項是 0 after E{}. Therefore, the E{curvature (*-1)} is the same as Fisher information
CRLB = 1/(Fisher Inforamtion)
因此曲率大的 LLF 的 information 比較多,或是 CRLB 比較小。Estimator 有機會做的比較準確。
另一個 CRLB 有關的定理
CRLB 例子
Example 1: DC + AWGN
x[n] = A + w[n] n = 0, 1, …, N-1
LLF function is as follows:
First derivative: V = d(ln p)/dA = 1/sig^2 sum(x[n] – A)
ML estimator: A_hat = 1/N sum(x[n])
Second derivative: d^2(ln p)/d^2 A = –N/sig^2
Fisher Information I(A) = N / sig^2
CRLB = sig^2/N
ML estimator 和 MMSE estimator 相同,同時都可以達成 CRLB!
Example 2: Sine Wave + AWGN (only unknow is phase)
fo < 1/2 is to keep below Nyquist sampling frequency.
First, the pdf or likelihood function. This is a general function even when A, fo, and phi are all unknown.
Assuming the only unknown is phase,
The ML estimator looks very complicated (V=0) and no close-form (I think). The efficient estimator does NOT exist based on the aforementioned theory.
Example 3: Complex Sine Wave + AWGN (amplitude, frequency, and phase are unknowns)
If amplitude is unknown, 結果和 DC+AWGN 一樣。唯一的差別是 A –> A cos(.), 如果 N 夠大,A^2 –> A^2/2. The CRLB doubles.
How about if both amplitude and phase are unknow? It can be shown that amplitude and phase are orthorgonal. Therefore, the amplitude and phase estimation CRLB bound can be treated separately.
A more general CRLB with amplitude, frequency, and phase are unknown can be found in D.C. Rife’s paper.
First, we consider the complex sine wave case, i.e. the sine wave contains both cos and sin.
可以看到 amplitude and phase 的 Fisher information 分別為 N/sig^2 and N*bo^2/sig^2. 這和之前的結論一致。amplitude 只和 sig^2 and N 有關;phase 和 SNR and N 有關。但是 complex sine wave 的 CRLB 比 sine wave only CRLB 小一半。
如果 frequency 也加入就更有趣。amplitude and phase 正交;amplitude and frequency 正交;但是 frequency and phase 非正交。直覺上 make sense, since frequency is phase derivative. 從 eq. (13) 也可以看出。J12=J21 <> 0
Complex sine wave (includes both sin and cos) 結論如下:
Amplitude 和 frequency and phase 正交,所以 eq.(18) hold for all cases. eq.(19) 如上述討論 (frequency is known). 對於 frequency and phase all unknown 的情況最複雜。Basically, amplitude CRLB is proportional to sig^2/N; phase CRLB is proportional to 1/(SNR*N)); frequency is proportional to Fs^2/(SNR*N^3). Note that N = T * Fs (?)
Example 4: Real Sine Wave + AWGN (amplitude, frequency, and phase are unknowns)
Next, we consider only real sine wave.
The Fisher Information Matrix (FIM) is shown below:
Compared with the complex sine wave FIM, some second order items are ignored for simplicity (when N is large).
The CRLB of real sine wave is very similiar to the complex sine wave.
Example 3 and 4 seems to imply that estimate frequency (1/N^3) is a lot more accurate than phase (1/N)!
下面的例子 Example 4 中的 method 3 and 4 似乎利用這個特性假設 perfect frequency estimation.
Example 5: Comlex Sine Wave with frequency offset and IQ imbalance (amplitude, frequency, and phase are unknowns)
Problem statement: A cos(wt + q) + j B sin(wt + q + f) + w(t) + j w’(t) Estimate amplitude mismach (A/B) and phase mismatch f.
The following method 1/2/3 employ a sine wave test tone (as a LIF) and estimate the amplitude and phase mismatch.
Method 4 uses received preamble containing a known pilot sequence directly and a ZIF receiver to estimate the amplitude and phase mismatch assuming ideal frequency estimation and
Method 1: Separte estimate: A cos(wt + q)+w(t) and B sin(wt + q + f)+w’(t)
var(A) > 2 sig^2/N var(B) > 2 sig^2/N var(A-B) > 4 sig^2/N
- var(q) > 4/(SNR*N) var(q + f) > 4/(SNR*N) var(f) > 8/(SNR*N) (?)
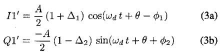
Method 2: Cross correlation of I1’ and Q1’ 如下圖, then
LPF{(Acos(wt + q)+w(t))(Bsin(wt + q + f)+w’(t))} = AB/2[sin(f)]+Bw(t)sin()+Aw’(t)cos()+w(t)w’(t)
where LPF is simply a summation.
Therefore, it becomes DC + AWGN (DC = AB/2 sin(f) AWGN ~ Bw*sin+Aw’cos+w*w’)!
var(sin(f)) ~ var(f) > 2*sig^2/NAB=2/(N*SNR) (w*w’ is zero mean, but not Gaussian!)
這時的 CRLB 比較小,同時也不需要 estimate frequency! How to estimate A/B? same as method 1? or square I and Q then average?
Method 3: Extension of method 2.
接下來假設 wd 可以準確 estimate, 以及在 digital domain 可以 create 90度 perfect 的 cos(wd) and sin(wd). 可以得到 II, IQ, QI, QQ. 這和 method 2 不同。method 2 直接 I1’ * Q1’, 因此不需要 estimate wd.
How to derive the CRB? Wait for next time. The result should be simiar to the next method 4.
Method 4: Let’s assume rRF(t) is a general received signal with preamble containing a known pilot sequence (instead of test tone). Please refer this article.
where fd = fo - flo
Assuming ideal frequency estimation (fd = 0!?), g(t) is a match filter, and ideal timing recovery (?), then
因此問題變成 given ak, bk, xi, and xq, estimate A, B, q, and f. 一旦 estimate 出 A, B, q, and f,
簡單來說,就是先用 preamble 中 known pilot sequency to estimate amplitude mismatch (A/B), phase mismatch(f), and phase offset (q). 再來用 eq (10) corrects mismatch and phase offset. The CRLB is shown as follows:
Es/No = 1/sig^2 CRB(q) = 1/N*SNR CRB(f) = 2/N*SNR CRB(A)=CRB(B)=sig^2/N
Example 6: how about non-sine, eye diagram? harmonic estimation? very low frequency (close to DC; or Nyquist)?


